Engineering Mathematics 1.BTAM 101
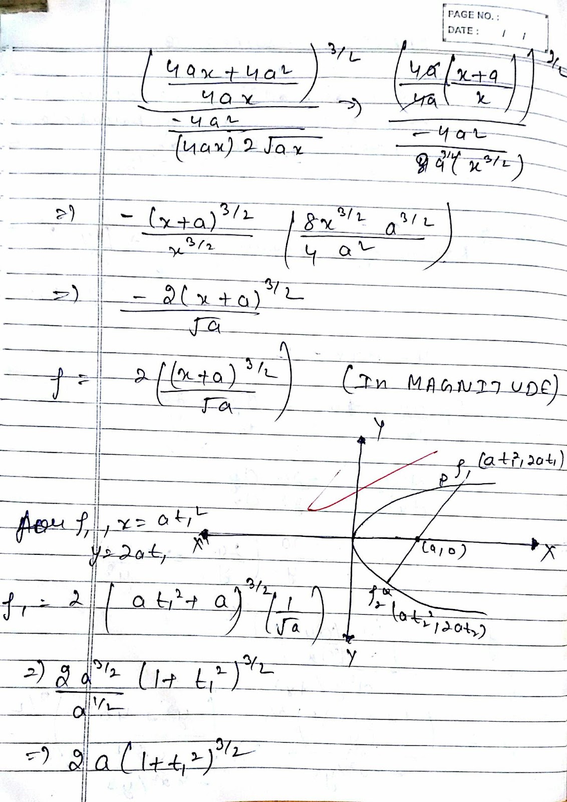
SEE SOLUTION OF PRACTICE SHEET BELOW IT.
This blog provides complete study material for IIT-JEE Mathematics (Main & Advanced) & engineering mathematics. It contains most simplified notes Important questions with solutions practice sheet with solutions PTU previous year study papers. This way you can keep engineering mathematics in your pocket. Enjoy Mathematics